ページの本文へ移動

LBB_EVs_Cheese_Whey_bottle.jpg

「Extracellular Vesicles derived from Cheese Whey (チーズホエイ細胞外小胞)」は、 乳酸菌開発をする北大発スタートアップ認定企業 株式会社LABバイオテックが北海道産チーズホエイ(乳清)より開発した「高純度のミルクエクソソームおよび乳酸菌由来EVs」です。


背景

Exosome(エクソソーム)は、ほとんどの細胞で分泌される直径50 nm 〜 150 nm 程度の膜小胞で、miRNAやmRNA、タンパク質、マイクロペプチドなどを内包し、由来する細胞や組織から離れた別の標的細胞や組織へと情報を伝達する役割を担うことが示唆されています。一方で、微生物からもエクソソームと同様のExtracellular Vesicles(EVs、細胞外小胞)を分泌しています。

特長

LBB_EVs_Cheese_Whey_fig1.png

図1. ELISA法を用いたMilk Exosome
および乳酸菌EVsの測定

  • 北海道産チーズホエイを原材料とした細胞外小胞(EVs)
  • 牛由来Milk Exosomeおよび乳酸菌由来EVsを含有(図1)
  • 多段階精製による高純度EVs画分(図2、3)
  • in vitro から in vivo まで幅広い実験に対応
  • バルク供給(受注生産)可能


※チーズホエイを高速遠心分離、0.22 μmメンブランで除菌、限外濾過、イオン交換クロマトグラフィー法を順次行い、不純物である油分とタンパク質成分を取り除くことによりEVsを高純度化しています。

 
fig2

図2.チーズホエイの精製(SDS-PAGE)

fig3

図3.NanoSightを用いた粒度分布測定

 

使用方法

  1. 冷蔵庫から本商品を取り出し、室温に戻してください。
  2. 1 mL の無菌蒸留水を添加して、ゆっくり攪拌して溶解してください。 溶解後は4℃で保管し、3ヶ月以内で使用してください。
  3. 上記溶液を1000倍から10000倍希釈して、培養液に添加してください。

商品データ

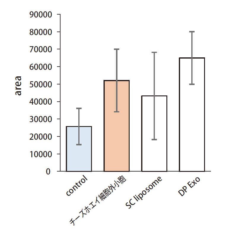
ヒト表皮細胞(HaCaT細胞)を低密度(3×103 cells/well)で96well Plateにて培養し、チーズホエイ細胞外小胞(1000倍希釈溶液)、ヒト脂肪間葉系幹細胞由来Exosome 10%溶液(SC liposome)、ヒト歯髄間葉系幹細胞由来Exosome(DP Exo)をそれぞれ添加して、48時間培養後、4%パラホルムアルデヒドで固定し、ギムザ染色した(図4)。 ギムザで染色されたコロニーの面積を、image Jを用いて定量化した(図5)。
Control(無添加)と比較して、チーズホエイ細胞外小胞添加群のコロニーの面積が増えていることが分かる。さらに、positiveコントロールのヒト歯髄間葉系幹細胞由来Exosome添加群にも迫る活性があることが分かった。

LBB_EVs_Cheese_Whey_fig4.jpg

図4. HaCaT細胞培養後の顕微鏡画像

LBB_EVs_Cheese_Whey_fig5.png

図5.HaCaT細胞培養後のコロニー面積

 
参考文献
  1. Extracellular vesicles isolated from milk can improve gut barrier dysfunction induced by malnutrition, Mohamed Karim Maghraby, et al., Scientific Reports. 2021; 11:7635.
  2. Potential therapeutic effects of milk-derived exosomes on intestinal diseases, Zhifu Cui, et al., J. Nanobiotechnology. 2023; 21:496.
  3. Novel roles of bovine milk-derived exosomes in skin antiaging, Lu Lu, et al., J. Cosmet Dermatol. 2024; 23:1374-1385.

チーズホエイ細胞外小胞

品名 メーカー 品番 包装 希望販売価格
チーズホエイ細胞外小胞
Extracellular Vesicles derived from Cheese Whey new
LBB EXCW1000 1 VIAL
[5 x 10^12 Particles/vial]
¥100,000

商品は「研究用試薬」です。人や動物の医療用・臨床診断用・食品用としては使用しないように、十分ご注意ください。

※  表示価格について

※  CAS Registry Numbers have not been verified by CAS and may be inaccurate.

お問い合わせ


メーカー・代理店一覧

サポート情報

SNSアカウント

オウンドメディア

※当社のWEBサイトはユーザーの利便性を最適にし、それを保証するためにクッキーを使用しています。
 このWEBサイトの利用を継続することで、クッキーの使用に同意することになります。

© COSMO BIO